
农业碳中和与低碳经济
Carbon Neutrality and a Low Carbon Economy for Agriculture
专 辑 文 章 介 绍
·第四篇·
▎论文ID
Microbial necromass within aggregates stabilizes physically-protected C response to cropland management
团聚体内微生物残体碳对农田管理的响应
发表年份:2023年
第一作者:周冉冉
通讯作者:田静
✉:tianj@cau.edu.cn作者单位:中国农业大学资源与环境学院、国家农业绿色发展研究院
Cite this article :
Ranran ZHOU, Jing TIAN, Zhengling CUI, Fusuo ZHANG. MICROBIAL NECROMASS WITHIN AGGREGATES STABILIZES PHYSICALLY-PROTECTED C RESPONSE TO CROPLAND MANAGEMENT. Front. Agr. Sci. Eng., 2023, 10(2): 198‒209 https://doi.org/10.15302/J-FASE-2023498
·文 章 摘 要·
﹀
﹀
﹀
土壤微生物和结构的相互作用可调节土壤有机碳(soil organic carbon, SOC)的降解和稳定过程。微生物残体是SOC的持久组成部分,其积累程度取决于田间管理和团聚体粒径大小。本研究对121组数据进行meta分析,以评估团聚体内微生物残体对SOC的贡献及对农田管理的响应。结果表明,真菌残体对SOC的贡献随着团聚体粒径的增大而增加,而细菌残体在粉粘粒组分中的比例更高。农田管理增加了较大的大团聚体、较小的大团聚体和微团聚体中的总微生物残体和真菌残体。农田管理增加所有组分中的细菌残体。粪肥和免耕使大团聚体内增加更多的真菌残体。覆盖作物使较小的大团聚体内的细菌残体增加。微生物残体的增加与土壤团聚体中SOC的增加成正比,并且在大团聚体中相关性更高。因此,增加微生物残体在大团聚体中的积累可以视为加速农业土壤中固碳管理的核心策略。
·文 章 亮 点·
﹀
﹀
﹀
1.真菌残体对SOC的贡献随着团聚体粒径的增大而增加。
2.细菌残体碳在粉粘粒组分中具有更大的比例。
3.农田管理增加大团聚体和微团聚体内的微生物残体。
4.粪肥和免耕使大团聚体内增加更多的真菌残体。
5.覆盖作物增加较小的大团聚体内的细菌残体。
·Graphical abstract·
﹀
﹀
﹀

·研 究 内 容·
﹀
﹀
﹀
▎引言
SOC作为土壤质量的关键指标,具有养分供应、生物多样性维持和减缓气候变化等重要功能。农业土壤含有巨大的碳库,但由于不可持续种植,这些碳库受到了巨大威胁。在全球范围内,与天然或未开垦的土壤相比,农业土壤损失了总SOC的一半至三分之二。因此,增加农业土壤固碳潜力需要适当的管理措施,这对农业可持续发展和缓解气候变化尤为重要。
在这项研究中,作者从农田管理的试验中收集了团聚体内微生物残体或氨基糖的数据,进行meta分析。本文主要回答两个问题:(1)微生物残体在不同粒径大小的团聚体中如何分布、如何响应于农田管理?(2)团聚体内微生物残体积累的驱动因素有哪些?
▎研究结果
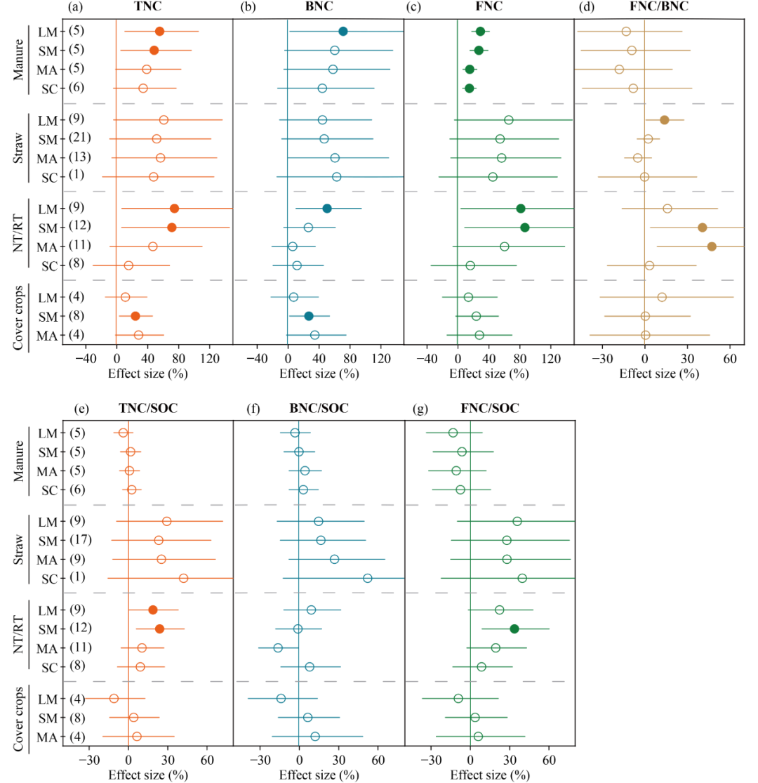
真菌残体碳在较大的大团聚体(large macroaggregates; > 2000 μm)、较小的大团聚体 (small macroaggregates; 250–2000 μm)、微团聚体(microaggregates; 53–250 μm)和粉粘粒组分(silt and clay; < 53 μm)中分别占SOC的47.3%、46.8%、44.7%和34.0%。细菌残体碳在三个较大组分中贡献相似,在粉粘粒组分中具有更高的比例(15.2%, 图1)。

图1 农田土壤中较大的大团聚体(a)、较小的大团聚体(b)、微团聚体(C)及粉粘粒组分(d)中微生物残体在SOC中的比例
农田管理增加微生物残体,并依赖于团聚体组分。农田管理增加较大的大团聚体、较小的大团聚体、微团聚体中的总微生物残体和细菌残体,而在粉粘粒组分中效果不明显。此外,管理效果也受农田管理类型的影响。施用粪肥在较大的大团聚体和较小的团聚体中增加更多的真菌残体。相较于细菌残体,免耕增加更多的真菌残体,免耕还增加大团聚体中微生物残体对SOC的贡献。覆盖作物则增加了较小的大团聚体中的细菌残体,进而增加总微生物残体(图2)。

图2 团聚体内微生物残体及其对SOC的贡献和对农田管理的响应
团聚体内微生物残体碳与SOC对农田管理的响应呈正相关(图3)。细菌残体碳与SOC对农田管理的响应在较大的大团聚体、较小的大团聚体和粉粘粒组分中显著正相关,在微团聚体中不显著。真菌残体碳与SOC对农田管理的响应在所有团聚体组分中均显著,尤其是在大团聚体中具有更高的相关性,表明大团聚体与微生物残体相结合,物理上稳定了SOC的封存(图3)。

图3 团聚体内微生物残体碳与SOC对农田管理响应率的相关性
▎讨论
管理实践可以增加农田土壤中微生物残体的积累,这取决于土壤团聚体。在较大的大团聚体、较小的大团聚体和微团聚体中观察到总微生物残体的增加,但在粉粘粒组分中不明显。这一结果回答了第一个问题,即农田管理效应取决于团聚体组分。粉粘粒组分中微生物残体未增加可能由于微生物残体的饱和比较大的团聚体中更早发生,导致额外的碳仅在较大的团聚体中积累。
管理效应在很大程度上取决于不同的农田管理措施(图2)。结果显示,大团聚体中总微生物残体对粪肥和免耕有较大的响应。与微团聚体和粉粘粒相比,粪肥和免耕在大团聚体中增加了更多的真菌残体,表明大团聚体中的真菌受农田管理的影响最大。免耕减少了土壤扰动,促进了团聚体的形成,保护了真菌菌丝,从而使真菌残体优先聚集在大团聚体中。粪肥促进团聚体的形成也可以在空间上保护微生物残体。在覆盖作物下,通过枯枝落叶、根系分泌物和根际沉积物提供不同的微生物基质会增加土壤细菌活性或生长,从而促进残体积累。
农田管理仅增加微生物对较小的大团聚体SOC的贡献,特别是在免耕条件下。免耕增加真菌残体对SOC的更大贡献,而不是细菌残体,这表明真菌来源的碳主要有助于稳定的SOC积累。微生物残体在较小的大团聚体中的贡献增加,可能是因为与微团聚体和粉质粘土相比,较小的大团聚体具有更大的残体积累能力。同时,由于较小的大团聚体的稳定性高于较大的大团聚体,因此具有更稳定的残体碳库。
▎结论
农田管理措施增加了与团聚体相关的微生物残体,增加所有团聚体粒径的细菌残体,增加除粉粘粒组分外的真菌残体。粪肥和免耕增加大团聚体中的真菌残体,覆盖作物增加了较小的大团聚体中的细菌残体。大团聚体中,真菌残体与SOC对农田管理的响应具有较高的相关性。因此,有必要考虑农田管理下与团聚体相关的微生物残体的积累,这可能有利于稳定的土壤碳的形成和农田土壤中碳的积累。




文章中观点仅代表作者个人观点,不代表本网站的观点和看法。
神州学人杂志及神州学人网原创文章转载说明:如需转载,务必注明出处,违者本网将依法追究。