研究背景及意义
环氧树脂(EP)具有非常优异的综合性能,是现阶段广泛应用的热固性树脂之一。然而,EP的脆性大、呈现出不耐磨的缺点,使其在遭受摩擦和磨损状况,尤其是滑动干摩擦时,容易发生材料失效而导致产品损伤。
利用纳米材料进行改性,能够显著提高EP的摩擦学性能,但不同形貌和结构的纳米材料的功效也不尽相同,如棒状纳米材料能够起到一定滚珠效应,而二维层状纳米材料则主要促进在摩擦表面性能致密的摩擦转移层来提高材料的抗摩擦和磨损性能。为此,本研究设计合成了层状硅酸镍(Ni-PS)包裹碳纳米管(CNT)制备了具有异质结构的纳米杂化体CNT@Ni-PS,并引入EP制备纳米复合材料,为EP产品的高性能改性提供了新思路。
研究内容及主要结论
首先采用Stöber工艺制备了CNT表面负载大量SiO2纳米球的杂化体(CNT@SiO2),进而在水热条件下使CNT@SiO2与Ni(II)离子反应,在CNT表面原位形成大量Ni-PS纳米片,得到CNT@Ni-PS纳米杂化体,进而将所得产物以不同的质量百分比引入EP基体,制备了EP/CNT@Ni-PS复合材料(图1)。在详细表征CNT@Ni-PS的基础上,讨论了复合体系的构效关系,主要研究了CNT@Ni-PS的引入对EP/CNT@Ni-PS复合材料的摩擦性能、固化特性和热稳定性的影响规律。主要得到了以下结论:
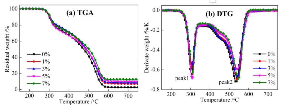
(1)XRD、SEM、TEM 和XPS等分析证实了CNT表面形成了大量的Ni-PS纳米片,得到了CNT@Ni-PS纳米杂化体(图2)。FT-IR进一步证实了合成产物,TGA显示了CNT@Ni-PS在空气中具有良好的热稳定性(图3);
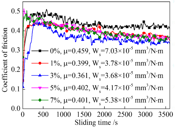
(2)CNT@Ni-PS能够在复合体系中分散良好(图4),能明显改善EP/CNT@Ni-PS复合材料的摩擦学性能。在添加量为3%时,其平均摩擦系数和磨损量最低,分别为0.361和3.68*10-5 mm3/N·m,相较纯EP分别下降了21.4% 和 47.6%(图5);
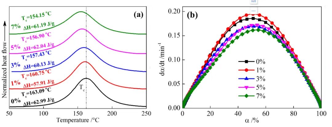
(3)DSC测试显示,CNT@Ni-PS的引入促进了EP的固化(图6),降低了环氧-胺体系的固化活化能(图7)。TGA/DTG分析表明,在空气气氛中,CNT@Ni-PS能够在一定程度上提高EP/CNT@Ni-PS复合材料的热稳定性(图8)。

图1 EP复合材料的制备过程示意图

图2 CNT、Ni-PS和CNT@Ni-PS的XRD图谱(a),CNT(b)、CNT@SiO2(c)和CNT@Ni-PS(d)的SEM照片,CNT@Ni-PS的TEM照片(e)以及XPS谱图(f)

图3 CNT、CNT@SiO2和CNT@Ni-PS的FT-IR图(a)和TGA热谱图(b)

图4 CNT@Ni-PS在EP基体中的分布和分散状况:(a) 0%, (b) 1%, (c) 3%, (d) 5%和(e) 7%

图5 EP/CNT@Ni-PS复合材料的滑动干摩擦学性能(环块式、12 kg、1 h)

图6 EP/CNT@Ni-PS复合材料的固化特性

图7 EP/CNT@Ni-PS复合材料的固化活化能拟合(Kissinger法)

图8 EP/CNT@Ni-PS复合材料在空气气氛中的热稳定性
研究亮点
采用经典的Stöber方法与水热法相结合制备了CNT@Ni-PS纳米杂化体,利用长径比大的CNT与二维片层结构的Ni-PS相结合,明显提高了EP/CNT@Ni-PS复合材料的摩擦性能,实现了材料的同时减摩和耐磨改性;同时还能促进环氧-胺体系的固化,降低固化反应活化能,提高了耐热性。
相关成果以“Synthesis of hierarchical nanohybrid CNT@Ni-PS and its applications in enhancing the tribological, curing and thermal properties of epoxy nanocomposites”为题,已发表在Frontiers of Chemical Science and Engineering上(DOI: 10.1007/s11705-020-2007-9)。
作者和团队介绍
杨继年(通讯作者),安徽理工大学材料学院教授,主要从事层状纳米材料和聚合物摩擦材料的应用基础研究,旨在探究复合材料的结构与性能关系,开发低成本、高附加值填充改性剂;以第一作者和通讯作者在国内外发表SCI/EI收录论文30余篇,担任ACS Appl. Mater. Interfaces、Cellulose、J. Polym. Environ.、Polym. Compost.等10余种学术期刊审稿人。


文章中观点仅代表作者个人观点,不代表本网站的观点和看法。
神州学人杂志及神州学人网原创文章转载说明:如需转载,务必注明出处,违者本网将依法追究。