原文信息
Effect of catalyst layer mesoscopic pore-morphology on cold start process of PEM fuel cells
Ahmed Mohmed DAFALLA1, Fangming JIANG2
作者单位:
1. Laboratory of Advanced Energy Systems, Guangdong Key Laboratory of New and Renewable Energy Research and Development, CAS Key Laboratory of Renewable Energy, Guangzhou Institute of Energy Conversion, Chinese Academy of Sciences (CAS), Guangzhou 510640, China; University of Chinese Academy of Sciences, Beijing 100049, China
2. Laboratory of Advanced Energy Systems, Guangdong Key Laboratory of New and Renewable Energy Research and Development, CAS Key Laboratory of Renewable Energy, Guangzhou Institute of Energy Conversion, Chinese Academy of Sciences (CAS), Guangzhou 510640, China
原文链接:
https://journal.hep.com.cn/fie/EN/10.1007/s11708-021-0733-4
https://link.springer.com/article/10.1007/s11708-021-0733-4

质子交换膜燃料电池(PEMFC)以其高效、低排放、结构紧凑、无噪音等优点,被公认为是一种极具吸引力的新型能源转换装置。然而,质子交换膜燃料电池(PEMFC)作为汽车发动机的商业化面临许多挑战和障碍。实现零下温度的成功快速启动是其必须解决的重要问题之一;最理想的方法是无需任何外部辅助加热的自启动。揭示水在电池中的传输和结冰机理,对于开发具有良好自冷启动性能的新技术或新设计至关重要。
膜电极(MEA)是质子交换膜燃料电池(PEMFC)的关键和核心部件,通常包含分别作为阳极和阴极电极的两层催化剂层,以及夹在中间的Nafion膜构成。阳极氢氧化反应和阴极氧还原反应在催化层内的三相界面进行,催化层通常包括三相输运,即聚电解质离子传输、催化剂电子传输,以及反应物/产物在孔隙的组分传输。电化学反应仅发生在活性催化剂位置,其中催化剂相、电解质相和孔相分别提供电子、离子和组分传输的途径,即所谓的三相界面(TPI)。CL中的介孔形态对PEMFC的冷启动有很大的影响。根据制备CL所用的材料,通过实验测量和分析可以很容易地确定复合CL的组成,而CL内部的纳米尺度的成分和结构形貌通常很难通过实验来表征。CL内部的假定介观形态如图1所示。

图1 催化层介孔形貌示意图
本文的目的是从CL的形貌出发,考虑冰的存在,进一步了解CL中的水传输阻力。首先,从理论上分析了CL中的孔隙和离聚物成分对水传输能力的影响,并对冷启动过程中CL和膜的水传输(反扩散)阻力进行了定量分析。然后,用单个组分的曲折率来表征CL的形貌,并利用自行开发的三维冷启动模型考察了不同CL形貌的影响。对理论和仿真结果进行了详细的分析及全面的解释。提出了提高PEMFC冷启动能力的建议。
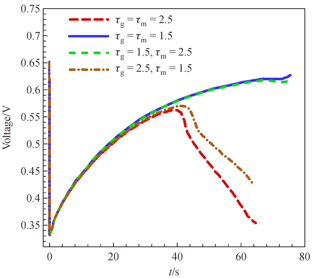
理论分析发现,在正常工作温度下,PEM的水传输阻力是CCL的数百倍,而在零下温度下,尤其是PEM水化程度较高且存在大量冰时,CCL的水传输阻力与PEM相当。因此,降低CCL中的水传输阻力应能有效提高PMEFC的冷启动能力,见图2。另一方面,模拟结果揭示了CL形貌影响的更多细节。不同的CL形貌会影响冷启动是否能够成功启动。具有较低曲折率形貌CCL的燃料电池可以成功冷启动,而较高曲折率形貌的CCL将导致燃料电池冷启动失败见图3。

图2 温度、水含量、冰体积分数对水传输阻力(R2)的影响

图3 不同介孔形态CCL在-20℃非等温冷启动过程的电压变化曲线
由此,本文提出了在CL制备过程中,调控形成大直径孔隙、低曲折率的孔隙结构和离聚物网络的催化剂层,可以使得PEMFC具有更好的零下温度自启动性能。
ABSTRACT
Water transport is of paramount importance to the cold start of proton exchange membrane fuel cells (PEMFCs). Analysis of water transport in cathode catalyst layer (CCL) during cold start reveals the distinct characteristics from the normal temperature operation. This work studies the effect of CCL mesoscopic pore-morphology on PEMFC cold start. The CCL mesoscale morphology is characterized by two tortuosity factors of the ionomer network and pore structure, respectively. The simulation results demonstrate that the mesoscale morphology of CCL has a significant influence on the performance of PEMFC cold start. It was found that cold-starting of a cell with a CCL of less tortuous mesoscale morphology can succeed, whereas starting up a cell with a CCL of more tortuous mesoscale morphology may fail. The CCL of less tortuous pore structure reduces the water back diffusion resistance from the CCL to proton exchange membrane (PEM), thus enhancing the water storage in PEM, while reducing the tortuosity in ionomer network of CCL is found to enhance the water transport in and the water removal from CCL. For the sake of better cold start performance, novel preparation methods, which can create catalyst layers of larger size primary pores and less tortuous pore structure and ionomer network, are desirable.
Keywords cold start, energy conversion, fuel cells, mesoscale morphology, tortuosity, water management
摘要:水的输运对质子交换膜燃料电池(PEMFC)的冷启动至关重要。通过分析冷启动过程中阴极催化剂层(CCL)内的水分运移规律,揭示了CCL在零下温度工况与常温工况的不同特性。研究了CCL介孔形貌对PEMFC冷启动的影响。CCL的介孔形貌由离聚物网络和孔隙结构的曲折率表征。模拟结果表明,CCL的介孔形貌对PEMFC冷启动性能有重要影响。采用具有低曲折率介孔形貌CCL的燃料电池可以成功启动,然而较高曲折率介孔形貌的CCL则不利于燃料电池成功启动。较低的孔隙结构曲折率降低了水从CCL到质子交换膜(PEM)的回扩散阻力,从而提高了PEM的储水能力,另一方面,降低CCL离聚物网络的曲折率,可以强化水的传输并有利于CCL排水。为了获得更好的冷启动性能,可以采用新的制备方法,形成大直径孔隙、低曲折率的孔隙结构和离聚物网络的催化剂层。
关键词:冷启动,能量转换,燃料电池,介孔形态,弯曲率,水管理
作者简介
蒋方明,中科院广州能源所先进能源系统研究室主任,研究员,博士生导师。主要从事新能源开发及应用过程中相关热物理工程的关键科学和技术问题的研究,近年来主持863课题、973子课题等项目20余项,已发表杂志论文100余篇,SCI收录60余篇;申请发明专利28项(授权11项)、登记获授软件著作权17项。
文章中观点仅代表作者个人观点,不代表本网站的观点和看法。
神州学人杂志及神州学人网原创文章转载说明:如需转载,务必注明出处,违者本网将依法追究。