
研究亮点
本文考虑了载流子与声学声子、杂质离子、极性光学声子散射过程,系统探究了机械应变作用下CsPb(I1-xBrx)3合金的电子结构、机械性质、载流子输运性质及器件热电转换效率,揭示了钙钛矿材料载流子输运物理机制,进一步提升了钙钛矿基热电器件转换效率。研究发现:应变作用与钙钛矿电子能带结构CBM轨道能级移动具有关联,通过离子置换的合金化作用结合机械应变作用,相应热电器件的转换效率在热源温度为500 K时可从4.9%(CsPbI3)调控至12%(CsPbIBr2在1%机械拉伸作用下)。
中文摘要
固体热电能转换器件在废热回收、空间发电、深水发电、温度控制等方面具有广阔的应用前景,吸引了广泛的研究兴趣,但对高性能热电材料的研究仍然具有挑战性。无机金属卤化物钙钛矿CsPb(I1-xBrx)3作为一种新兴的低成本溶液处理热电材料,采用第一原理计算和玻尔兹曼输运理论对其进行了系统研究。研究表明,卤素混合和机械变形是协同改变CsPb(I1-xBrx)3中电子结构和电荷传输特性的有效方法。由于对称性断裂引起的本征应变,卤素混合导致能带分裂和各向异性电荷输运。这种能带分裂可以重构能带边,降低载流子有效质量,从而获得优异的电荷输运特性。机械变形可以进一步将轨道能量以一种更可控的方式推离,超过了内禀应变的影响。各向异性电荷输运特性和ZT值对应变的方向和大小都很敏感,与未应变的情况相比,ZT值的变化范围很大,从20%到400% (ZT值高达1.85)。在热源为500 K、冷端保持在300 K的条件下,采用混合卤化物钙钛矿进行定向机械变形,热电器件的发电效率可达~12%,超过了现有许多块状热电材料的性能。
研究背景及意义
基于塞贝克效应的热电器件因其可直接将低品位热能转化为高品位电能而受到广泛关注,具有可靠性高、无噪音、无磨损、结构简单可靠、清洁环保等优点,在诸多领域已经获得了广泛的应用,如作为发电装置应用于外太空、深海探测、核潜艇、超高声速飞行器等军事领域(图1(a-b))。另外值得注意的是,热电器件能够有效回收工厂内体量巨大的废热余热,进而提升一次能源的利用效率,这将对我国“双碳”战略目标的实现具有重要推进作用。然而,较低的热电转换效率限制了热电器件走向大规模商业化应用的步伐,这主要是由于高性能热电材料研发进展依旧缓慢,目前热电材料室温下的ZT值(衡量热电材料热电转换效率的无量纲值)依旧处于较低水平。因此,研发高性能热电材料是热电领域实现大规模产业化应用急需解决的关键问题。

图1 金属卤素钙钛矿合金材料、热电器件单元及其潜在应用示意图。
近年来,无机金属卤素钙钛矿材料由于集较低热导率和较高的载流子迁移率性质于一身而成为潜在的优异热电材料(图1(c-d))。本文研究者在前期研究(ACS Applied Materials and Interfaces, 2020, 12 (36), 40453-40464)中发现,通过相近离子半径的离子置换调控,可将钙钛矿材料转化为带隙可控的合金,该调控策略在显著提升材料稳定性的同时,也能直接有效地提升材料性能。本文进一步发现,通过机械形变调控可在热电器件中引入内应力,增强器件性能,为钙钛矿材料稳定性及热电性能的提升进一步开辟了新的技术途径。因此,本文针对无机钙钛矿卤族元素合金材料CsPb(I1-xBrx)3,开展了机械应变调控其电子结构及输运性能的研究,分析了钙钛矿基热电器件性能增强机理及电子/空穴传输的物理机制。通过本研究,可为钙钛矿及其他热电材料的输运性能调控及热电器件性能提升提供理论指导。
研究内容及主要结论
本文系统探究了机械应变作用下CsPb(I1-xBrx)3合金(共21种)的电子结构、机械性质、电子输运性质及器件热电转换效率。研究发现,21种合金电子能带结构均为直接带隙结构,导带底(CBM)主要由Pb-6p轨道构成;价带顶(VBM)主要由Br/I-p轨道和Pb-6s轨道构成。其中,对CsPbI3而言,CBM的Pb-6px, Pb-6py, 及Pb-6pz轨道三重简并。机械应变的施加,造成了CBM电子轨道能级的分裂现象,且机械应变的大小、方向,与电子轨道能级的分裂及输运性质存在关联作用。即X/Y/Z方向的机械应变造成CBM的Pb-6px/py/pz轨道能级的移动(如图2)。VBM中Pb-6s轨道和Br/I-p轨道的交互程度在机械应变的施加作用下也会发生变化,造成其随着拉应变的增加而逐渐下降,随着压应变的增加而逐渐上升。

图2 CsPbI3在机械应变作用下电子结构及电荷密度变化。
对于钙钛矿合金(如CsPbIBr2,见图3)而言,CBM由于合金结构中I/Br离子的范德华半径不同而造成晶格内存在残余应变,在未施加机械应变之前已产生电子轨道能级的分裂现象,破坏原有CBM三重简并态,即Pb-6px轨道由于X方向存在残余应变而产生分裂,能级下移。外部机械应变的施加,造成内部残余应变结合外部机械应变共同作用,使得情况更加复杂。如施加X方向机械应变,会增强或弥补X方向残余应变作用;而施加Y/Z方向机械应变,也需要结合X方向残余应变作用,会产生三相分离等特殊现象。总之,对于钙钛矿合金而言,需要结合自身特定结构特点分析机械应变作用。

图3 CsPbIBr2在机械应变作用下电子结构及态密度变化。
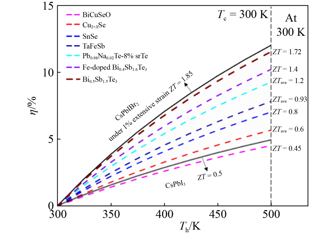
值得注意的是,CBM随着机械应变的施加,轨道能级分裂、能带简并度发生变化的同时也造成了较强的各向异性,即CBM特定方向上能带结构的斜率产生明显变化,进而造成电子有效质量及电导率产生较大变化。如CsPbI3在X方向施加+2%机械应变时,Pb-6px轨道能级下移,T-R(X方向)能带结构斜率明显变化,造成有效质量急剧降低,电导率大幅提升,弥补了塞贝克系数由于简并度下降造成的降低,进而提升了热电性能。综合输运性质各参数的变化情况,在合金结构及机械应变共同作用下,CsPbIBr2特定方向在1%机械应变作用下热电优值可提升至1.85左右,相应钙钛矿基热电器件在热源温度为500 K时,最大热电转换效率可达~12%(图4),表明了机械应变及离子置换作用的有效性,为提升热电材料的热电转换效率提供理论指导。

图4 钙钛矿及其它常见热电材料所组成器件的最大热电转换效率。
原文信息
High performance solid-state thermoelectric energy conversion via inorganic metal halide perovskites under tailored mechanical deformation
Lifu YAN, Lingling ZHAO*, Guiting YANG, Shichao LIU, Yang LIU, Shangchao LIN*
Keywords
inorganic metal halide perovskites, mechanical deformation, thermoelectrics, first-principle calculations, Boltzmann transport theory
Cite this article
Lifu YAN, Lingling ZHAO, Guiting YANG, Shichao LIU, Yang LIU, Shangchao LIN. High performance solid-state thermoelectric energy conversion via inorganic metal halide perovskites under tailored mechanical deformation. Front. Energy, https://doi.org/10.1007/s11708-022-0831-y

通讯作者简介
赵伶玲:女,东南大学教授,博士生导师。主要研究方向:低碳智能发电技术;CFD数值模拟与可视化智能监控系统;电站锅炉节能与燃烧污染控制;火灾模拟与事故调查;分子模拟与多相流动。
详情:https://power.seu.edu.cn/zll/list.htm
林尚超:男,上海交通大学副教授,国家特聘青年专家,博士生导师。主要研究方向:热电转换与储能材料;微纳尺度传热传质;聚合物能源材料;界面和胶体科学;能源材料中的力-热-光-电耦合效应。
详情:https://me.sjtu.edu.cn/teacher_directory1/linshangchao.html
文章中观点仅代表作者个人观点,不代表本网站的观点和看法。
神州学人杂志及神州学人网原创文章转载说明:如需转载,务必注明出处,违者本网将依法追究。